| Nome: | Descrição: | Tamanho: | Formato: | |
|---|---|---|---|---|
| artigo principal | 10.62 MB | Adobe PDF | ||
| material suplementar 1 | 2.29 MB | JPEG | ||
| material suplementar 2 | 344.32 KB | JPEG | ||
| material suplementar 3 | 373.91 KB | JPEG | ||
| material suplementar 4 | 171.18 KB | JPEG |
Orientador(es)
Resumo(s)
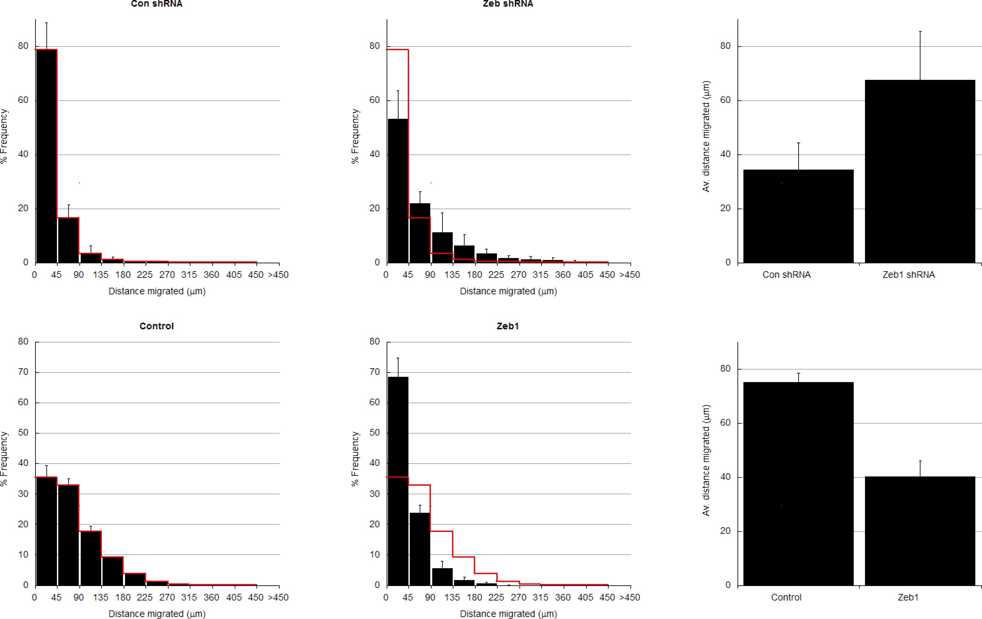
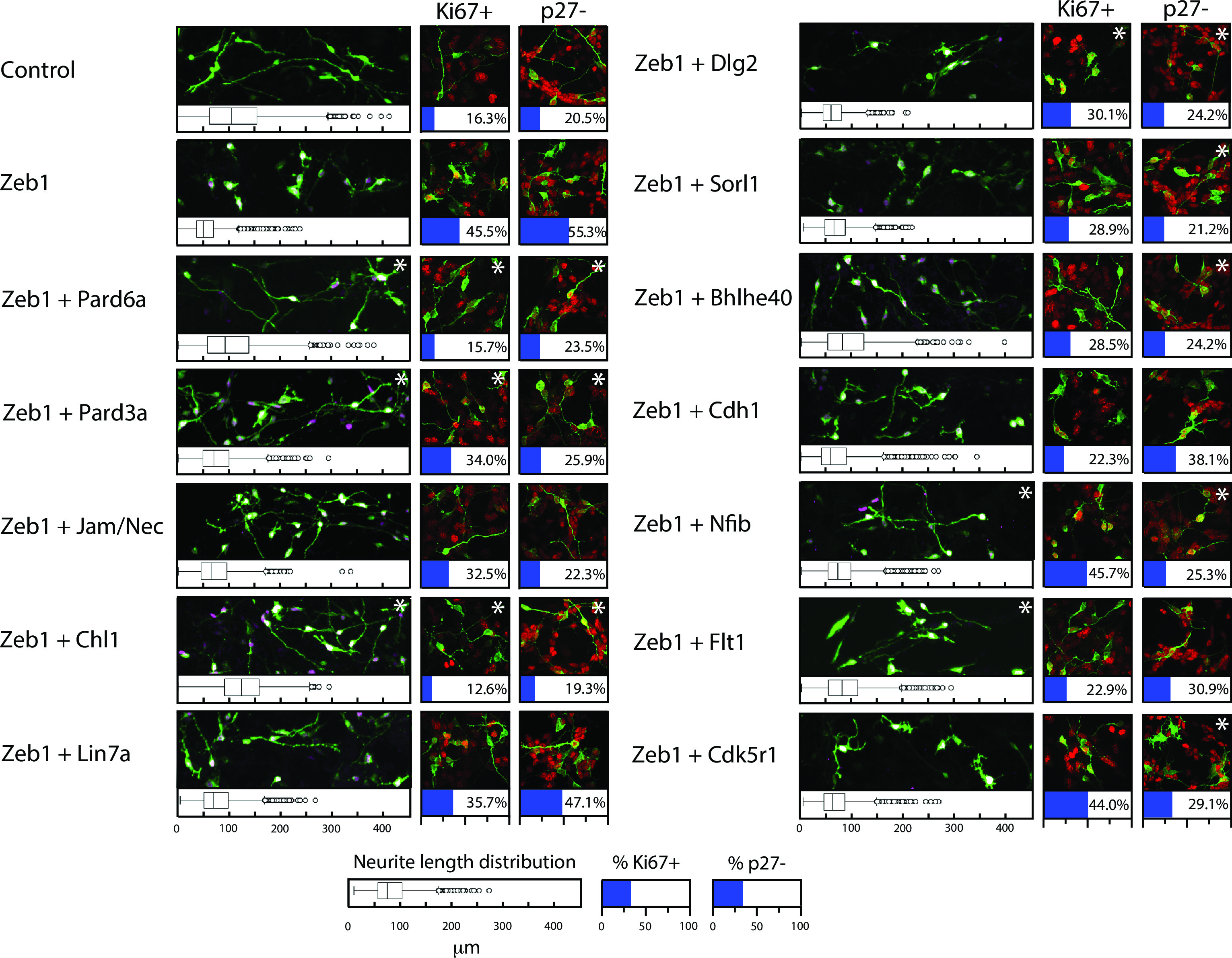
In the developing mammalian brain, differentiating neurons mature morphologically via neuronal polarity programs. Despite discovery of polarity pathways acting concurrently with differentiation, it's unclear how neurons traverse complex polarity transitions or how neuronal progenitors delay polarization during development. We report that zinc finger and homeobox transcription factor-1 (Zeb1), a master regulator of epithelial polarity, controls neuronal differentiation by transcriptionally repressing polarity genes in neuronal progenitors. Necessity-sufficiency testing and functional target screening in cerebellar granule neuron progenitors (GNPs) reveal that Zeb1 inhibits polarization and retains progenitors in their germinal zone (GZ). Zeb1 expression is elevated in the Sonic Hedgehog (SHH) medulloblastoma subgroup originating from GNPs with persistent SHH activation. Restored polarity signaling promotes differentiation and rescues GZ exit, suggesting a model for future differentiative therapies. These results reveal unexpected parallels between neuronal differentiation and mesenchymal-to-epithelial transition and suggest that active polarity inhibition contributes to altered GZ exit in pediatric brain cancers.
Descrição
Palavras-chave
Development Biology Stem Cells Neuroscience cell adhesion mesenchymal-epithelial transition Mouse neuronal differentition neuronal migration neuronal polarity PAR polarity complex
Contexto Educativo
Citação
eLife 2016;5:e12717
Editora
eLife Sciences Publications
